logo

Crowdly

Browser

Add to Chrome

Физика. Механика (2025)

Looking for Физика. Механика (2025) test answers and solutions? Browse our comprehensive collection of verified answers for Физика. Механика (2025) at moodle2.petrsu.ru.

Get instant access to accurate answers and detailed explanations for your course questions. Our community-driven platform helps students succeed!

С одного уровня наклонной плоскости одновременно начинают скатываться однородные сплошной цилиндр и шар с одинаковыми радиусами и массами. Во сколько раз скорость одного из этих тел будет больше скорости другого в произвольный момент времени их движения по наклонной плоскости? 

View this question

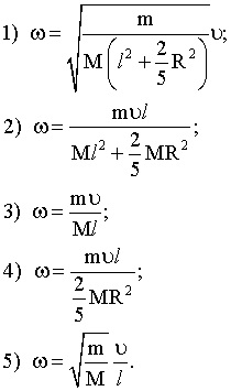
В тяжелый шар массой М и радиусом R, подвешенный на нити, попадает пуля массой m, летящая со скоростью υ в направлении к центру шара, и застревает в нем. Какую угловую скорость ω получит шар, если пуля застрянет в нем? Считать m << M. Расстояние от точки подвеса до центра шара l.

Рисунок Рисунок к ответам

0%
0%
0%
0%
0%
View this question

Частица одновременно участвует в двух гармонических колебаниях во взаимно перпендикулярных направлениях согласно уравнениям:

х = а∙sin(ωt) и y = b∙sin(ωt + π/2), причем a ≠ b. Какова результирующая траектория частицы?

View this question

На рисунке изображен график зависимости координаты колеблющегося тела от времени. Укажите все верные утверждения из приведенных ниже.

Рисунок

0%
0%
0%
0%
View this question

Что такое биения? При каких условиях они возникают?

View this question

На рисунке показан график гармонических колебаний частицы. Укажите все верные утверждения из приведенных ниже.

Рисунок

0%
0%
0%
0%
View this question

Как называются колебания, происходящие под действием внутренних сил после начального вывода системы из положения равновесия?

View this question

На что влияют начальные условия гармонического осциллятора?

View this question

  1. От чего зависит вид фигур Лиссажу?
  2. С какой целью можно использовать фигуры Лиссажу?
View this question

Чему равно смещение колеблющейся точки из положения равновесия через 1,5 с после начала колебаний, если амплитуда косинусоидальных колебаний равна 5 см, а начальная фаза колебаний равна π/4?

0%
0%
0%
0%
View this question

Want instant access to all verified answers on moodle2.petrsu.ru?

Get Unlimited Answers To Exam Questions - Install Crowdly Extension Now!

Browser

Add to Chrome