logo

Crowdly

Browser

Add to Chrome

Теорія оптимального керування

Looking for Теорія оптимального керування test answers and solutions? Browse our comprehensive collection of verified answers for Теорія оптимального керування at moodle.chdtu.edu.ua.

Get instant access to accurate answers and detailed explanations for your course questions. Our community-driven platform helps students succeed!

Як називаються задані рівняння?

0%
0%
50%
View this question

Як називаються задані рівняння?

View this question

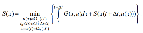
Як називається задана система рівнянь?

View this question

Я

кий би не був стан системи в результаті певної

кількості кроків, на найближчому кроці треба обирати управління так, щоб воно у

сукупності з оптимальним управлінням на всіх наступних кроках приводило до

оптимального результату на всіх кроках, що залишилися, включаючи й даний крок.

Сформульоване твердження називається...

View this question

Особливий математичний метод розв’язування задач певної структури – задач

пошуку оптимального розв’язку за умов, що досліджуваний процес істотно залежить

від часу, а його перебіг може бути поетапно контрольований і керований, називається ...

View this question

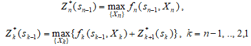
Як називається задана функція?

View this question

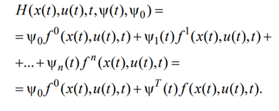
Як називається задана функція?

0%
0%
0%
0%
View this question

Яка додаткова умова з'являється в теоремі про необхідні умови оптимальності для задачі оптимального керування з вільними або рухомими кінцями?

View this question

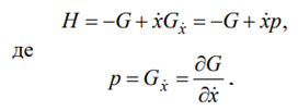
Для якого випадку на кінцях фазової траєкторії умова трансверсальності має вигляд:

 ?

0%
0%
View this question

Для якого випадку на кінцях фазової траєкторії умова трансверсальності має вигляд:

 

View this question

Want instant access to all verified answers on moodle.chdtu.edu.ua?

Get Unlimited Answers To Exam Questions - Install Crowdly Extension Now!

Browser

Add to Chrome