logo

Crowdly

Browser

Add to Chrome

Електричні системи та мережі / Electrical systems and networks

Looking for Електричні системи та мережі / Electrical systems and networks test answers and solutions? Browse our comprehensive collection of verified answers for Електричні системи та мережі / Electrical systems and networks at moodle.chnu.edu.ua.

Get instant access to accurate answers and detailed explanations for your course questions. Our community-driven platform helps students succeed!

В абревіатурі трансформатора літера "М"  означає 

100%
0%
0%
0%
0%
View this question

На малюнку зображено 

50%
0%
50%
View this question

Знайти річні втрати електроенергії у трансформаторі типу ТМТН-10000/110, якщо найбільше навантаження з боку СН становить, P_НБ2 = 6500 кВт за коефіцієнтом потужності 

cos_2  =0,9  і тривалості використання найбільшого навантаження Т_НБ2 = 4800  год, а з боку НН –  P_НБ3 = 3500 кВт при cos_3  =0,9 і Т_НБ3 = 3600 год.

P_к = 70 кВт; P_х = 12 кВт

View this question

На підстанції встановлено 4 трансформатори

ТДН-25000/110, що живлять споживачів з найбільшою

потужністю 22 MBА. Визначити втрати потужності для випадків

одночасної паралельної роботи трьох трансформаторів (a)  і одночасної паралельної роботи чотирьох трансформаторів (b).

Каталожні дані трансформатора:

U_К = 10,5 %; ΔР_К = 120 кВт; ΔР_Х = 19 кВт; I_Х = 0,23 %.

0%
0%
0%
0%
View this question

Потрібно виконати електричний розрахунок лінії електропередачі номінальною напругою U_HOM = 330 кВ, довжиною l = 100 км, виконаної маркою проводу АС2 240/32, якщо відома потужність навантаження і напруга в кінці лінії S_н = 300+j 100 MBA, U_2 = 320 кВ

Питомі параметри дорівнюють: r0 = 0,06 Ом/км; x0 =  0,33 Ом/км; b0 = 3,4*10-6 См/км.

Активну провідність лінії врахувати у вигляді втрат потужності на корону, взявши їх 

P_k0  = 0,005 МВт/км.

View this question

На малюнку дослід холостого ходу

0%
100%
View this question

У стандартних схемах обмотки трансформатора з’єднані

0%
100%
0%
View this question

Активна провідність фази (См/км) трифазної лінії

вираховується за формулою:

Pкор- втрати потужності на корону

0%
0%
0%
0%
View this question

На малюнку (б) зображено схему заміщення ліній електропередач 

0%
0%
0%
0%
0%
View this question

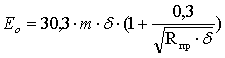
Робоча напруга електричного поля на

поверхні проводів трифазної лінії в нормальних умовах роботи для розщепленої фази:

0%
0%
0%
View this question

Want instant access to all verified answers on moodle.chnu.edu.ua?

Get Unlimited Answers To Exam Questions - Install Crowdly Extension Now!

Browser

Add to Chrome