logo

Crowdly

Browser

Add to Chrome

BE Aéro S5 (ICM - DDS)

Looking for BE Aéro S5 (ICM - DDS) test answers and solutions? Browse our comprehensive collection of verified answers for BE Aéro S5 (ICM - DDS) at moodle.iut-tlse3.fr.

Get instant access to accurate answers and detailed explanations for your course questions. Our community-driven platform helps students succeed!

On considère la poutre hyperstatique suivante. Donner le système isostatique et la condition géométrique associés qui conviennent.

View this question

Soit la poutre suivante, bi-encastrée en A et B et supportant une charge répartie q.

On donne :

  • q = 3 kN/m
  • L = 7 m

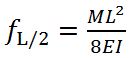
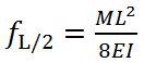
Formulaire à exploiter :

Cas 1Cas 2

       

 

Calculer la valeur (absolue) des moments d'encastrement en A et B.

View this question

On considère le système hyperstatique suivant :

On donne le formulaire suivant :

 

Donner l'effort de liaison YA en fonction de q sous la forme YA=λ.qL

On donnera λ sous forme de fraction (par exemple 1/3)

View this question

On considère le système hyperstatique suivant :

On donne le formulaire suivant :

 

Donner l'effort de liaison YA en fonction de q sous la forme YA=λ.qL

On donnera λ sous forme de fraction (par exemple 1/3)

View this question
View this question

Soit la poutre suivante, bi-encastrée en A et B et supportant une charge répartie q.

On donne :

  • q = 2 kN/m
  • L = 4 m

Formulaire à exploiter :

Cas 1Cas 2

       

 

Calculer la valeur (absolue) des moments d'encastrement en A et B.

View this question

On considère le système hyperstatique suivant :

On donne le formulaire suivant :

 

Donner l'effort de liaison YA en fonction de q sous la forme YA=λ.qL

On donnera λ sous forme de fraction (par exemple 1/3)

View this question

On considère la poutre hyperstatique suivante. Donner le système isostatique et la condition géométrique associés qui conviennent.

0%
0%
0%
0%
View this question

On considère la poutre hyperstatique suivante. Donner le système isostatique et la condition géométrique associés qui conviennent.

0%
0%
0%
0%
View this question

On considère la poutre hyperstatique suivante. Donner le système isostatique et la condition géométrique associés qui conviennent.

0%
0%
0%
View this question

Want instant access to all verified answers on moodle.iut-tlse3.fr?

Get Unlimited Answers To Exam Questions - Install Crowdly Extension Now!

Browser

Add to Chrome