logo

Crowdly

Browser

Add to Chrome

BE Aéro S5 (ICM - DDS)

Looking for BE Aéro S5 (ICM - DDS) test answers and solutions? Browse our comprehensive collection of verified answers for BE Aéro S5 (ICM - DDS) at moodle.iut-tlse3.fr.

Get instant access to accurate answers and detailed explanations for your course questions. Our community-driven platform helps students succeed!

Soit la poutre suivante, bi-encastrée en A et B et supportant une charge répartie q.

On donne :

  • q = 2 kN/m
  • L = 9 m

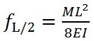
Formulaire à exploiter :

Cas 1Cas 2

       

 

Calculer la valeur (absolue) des moments d'encastrement en A et B.

View this question

On considère le système hyperstatique suivant :

On donne le formulaire suivant :

 

Donner l'effort de liaison YA en fonction de q sous la forme YA=λ.qL

On donnera λ sous forme de fraction (par exemple 1/3)

View this question

On considère la poutre hyperstatique suivante. Donner le système isostatique et la condition géométrique associés qui conviennent.

50%
50%
50%
View this question

On considère la poutre hyperstatique suivante. Donner le système isostatique et la condition géométrique associés qui conviennent.

View this question

Soit la poutre suivante, bi-encastrée en A et B et supportant une charge répartie q.

On donne :

  • q = 5 kN/m
  • L = 7 m

Formulaire à exploiter :

Cas 1Cas 2

       

 

Calculer la valeur (absolue) des moments d'encastrement en A et B.

View this question

On considère le système hyperstatique suivant :

On donne le formulaire suivant :

 

Donner l'effort de liaison YA en fonction de q sous la forme YA=λ.qL

On donnera λ sous forme de fraction (par exemple 1/3)

View this question

On considère la poutre hyperstatique suivante. Donner le système isostatique et la condition géométrique associés qui conviennent.

View this question

On considère la poutre hyperstatique suivante.

Donner les systèmes isostatiques (et condition géométrique associée) équivalents.

View this question

On considère la poutre hyperstatique suivante. Donner le système isostatique et la condition géométrique associés qui conviennent.

View this question

On considère la poutre hyperstatique suivante.

Donner le système isostatique et la condition géométrique associés qui conviennent.

View this question

Want instant access to all verified answers on moodle.iut-tlse3.fr?

Get Unlimited Answers To Exam Questions - Install Crowdly Extension Now!

Browser

Add to Chrome