logo

Crowdly

Browser

Add to Chrome

CH201[A] — Organic Chemistry (2025-26:Semester 1)

Looking for CH201[A] — Organic Chemistry (2025-26:Semester 1) test answers and solutions? Browse our comprehensive collection of verified answers for CH201[A] — Organic Chemistry (2025-26:Semester 1) at moodle.maynoothuniversity.ie.

Get instant access to accurate answers and detailed explanations for your course questions. Our community-driven platform helps students succeed!

Answer this question by choosing the correct answer from the drop-down list:

View this question

The number of stereoisomers of Structure 8 is:

0%
0%
0%
0%
0%
View this question

Answer the below questions by selecting True or False from the dropdown selection box

View this question
View this question

If two samples run on

the same silica gel TLC plate have the same R

f value, they are:

0%
0%
100%
View this question
View this question

If a crude sample with multiple components is analysed on a  TLC plate with silica gel as the stationary phase 

View this question
View this question

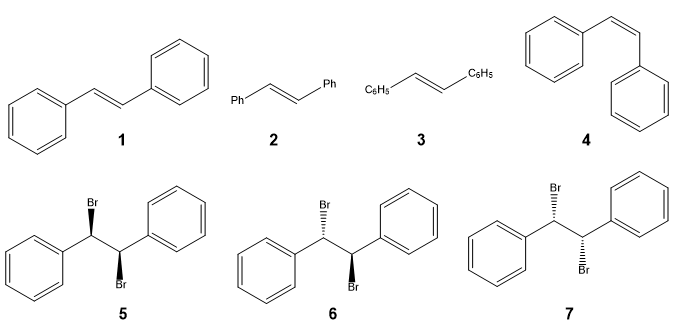
Answer the questions with reference to structures 1-7

View this question

Consider each of the following general statements in relation to reaction mechanisms and in each case indicate if the statement is True or False

View this question

Want instant access to all verified answers on moodle.maynoothuniversity.ie?

Get Unlimited Answers To Exam Questions - Install Crowdly Extension Now!

Browser

Add to Chrome