logo

Crowdly

Browser

Add to Chrome

CH201[A] — Organic Chemistry (2025-26:Semester 1)

Looking for CH201[A] — Organic Chemistry (2025-26:Semester 1) test answers and solutions? Browse our comprehensive collection of verified answers for CH201[A] — Organic Chemistry (2025-26:Semester 1) at moodle.maynoothuniversity.ie.

Get instant access to accurate answers and detailed explanations for your course questions. Our community-driven platform helps students succeed!

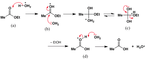
Answer the following with regard to the reaction shown below:

View this question

There is a mistake in one one step of the mechanism shown below. In one place the use of a curly arrow is incorrect - which is wrong?

0%
0%
0%
0%
View this question
View this question

Upload here, as a single pdf the work you created for Experiment CH201-5, 

Training in the Use of Chemical Drawing Software

View this question

Indicate the functional group in each of the following compounds by selecting the correct answer from the drop down boxes

View this question
View this question

Want instant access to all verified answers on moodle.maynoothuniversity.ie?

Get Unlimited Answers To Exam Questions - Install Crowdly Extension Now!

Browser

Add to Chrome