logo

Crowdly

Browser

Add to Chrome

25-26 EE2020: Signals, Systems and Communications

Looking for 25-26 EE2020: Signals, Systems and Communications test answers and solutions? Browse our comprehensive collection of verified answers for 25-26 EE2020: Signals, Systems and Communications at moodle.royalholloway.ac.uk.

Get instant access to accurate answers and detailed explanations for your course questions. Our community-driven platform helps students succeed!

What

is the d.c. value of the spectrum of

0%
100%
0%
View this question

What

is the d.c. value of the spectrum of

0%
0%
0%
View this question

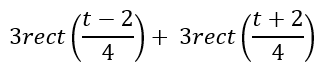
What

is the overall duration of the following signal described by:

100%
0%
0%
View this question

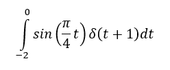
Evaluate

the following integral:

0%
100%
0%
View this question

What

is the category of a unit step signal?

0%
0%
0%
View this question

What

is the expression for the spectrum of

and its

third zero crossing value?

0%
100%
0%
View this question

What

is the symmetry of the resulting signal from

?
33%
0%
67%
View this question

Categorise

the signal

and

evaluate it at

t = 0.2.

0%
0%
100%
View this question

Evaluate

0%
0%
0%
View this question

Obtain

the value of the following integral:

100%
0%
0%
View this question

Want instant access to all verified answers on moodle.royalholloway.ac.uk?

Get Unlimited Answers To Exam Questions - Install Crowdly Extension Now!

Browser

Add to Chrome