logo

Crowdly

Browser

Add to Chrome

25-26 EE2020: Signals, Systems and Communications

Looking for 25-26 EE2020: Signals, Systems and Communications test answers and solutions? Browse our comprehensive collection of verified answers for 25-26 EE2020: Signals, Systems and Communications at moodle.royalholloway.ac.uk.

Get instant access to accurate answers and detailed explanations for your course questions. Our community-driven platform helps students succeed!

What

is the overall duration of the following signal described by:

100%
0%
0%
View this question

Evaluate

the following integral:

100%
0%
0%
View this question

What

is the third zero-crossing of 

0%
0%
0%
View this question

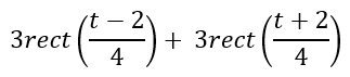
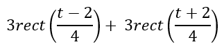
What

is the overall duration of the following signal described by:

0%
0%
0%
View this question

Evaluate

the following integral:

0%
0%
0%
View this question

What

is the third zero-crossing of 

0%
0%
0%
View this question

What

is the steady-state value of the pictorially integrated

x(t)

,

where

100%
0%
0%
View this question

What

is the steady-state value of the pictorially integrated

x(t)

,

where

100%
0%
0%
View this question

What

is the third zero-crossing of 

0%
0%
100%
View this question

Which

of the following sketches is correct for the pictorial integration of

r(t

),

where

50%
25%
25%
View this question

Want instant access to all verified answers on moodle.royalholloway.ac.uk?

Get Unlimited Answers To Exam Questions - Install Crowdly Extension Now!

Browser

Add to Chrome