logo

Crowdly

Browser

Add to Chrome

25-26 EE2020: Signals, Systems and Communications

Looking for 25-26 EE2020: Signals, Systems and Communications test answers and solutions? Browse our comprehensive collection of verified answers for 25-26 EE2020: Signals, Systems and Communications at moodle.royalholloway.ac.uk.

Get instant access to accurate answers and detailed explanations for your course questions. Our community-driven platform helps students succeed!

What

is the value of the signal u(–

t–1)

 at t = –4?

75%
0%
25%
View this question

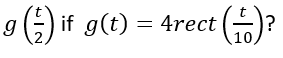
What is the overall duration of

0%
0%
0%
View this question

Want instant access to all verified answers on moodle.royalholloway.ac.uk?

Get Unlimited Answers To Exam Questions - Install Crowdly Extension Now!

Browser

Add to Chrome