logo

Crowdly

Browser

Add to Chrome

MATH291 (DB425) Advanced Engineering Mathematics

Looking for MATH291 (DB425) Advanced Engineering Mathematics test answers and solutions? Browse our comprehensive collection of verified answers for MATH291 (DB425) Advanced Engineering Mathematics at moodle.uowplatform.edu.au.

Get instant access to accurate answers and detailed explanations for your course questions. Our community-driven platform helps students succeed!

0%
0%
0%
100%
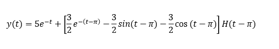
View this question

0%
0%
0%
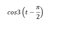
View this question

0%
0%
0%
View this question

100%
0%
0%
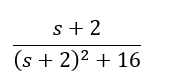
View this question

0%
0%
0%
View this question

0%
0%
100%
View this question

0%
0%
0%
View this question

100%
0%
0%
0%
View this question

0%
0%
0%
0%
View this question

0%
0%
View this question

Want instant access to all verified answers on moodle.uowplatform.edu.au?

Get Unlimited Answers To Exam Questions - Install Crowdly Extension Now!

Browser

Add to Chrome