logo

Crowdly

Browser

Add to Chrome

БІОМЕТРІЯ (д.ф.н.)

Looking for БІОМЕТРІЯ (д.ф.н.) test answers and solutions? Browse our comprehensive collection of verified answers for БІОМЕТРІЯ (д.ф.н.) at moodle.vnu.edu.ua.

Get instant access to accurate answers and detailed explanations for your course questions. Our community-driven platform helps students succeed!

На діаграмі Венна темно-зеленим показано область, що відповідає.

0%
100%
View this question

Яка формула для  є правильною?

0%
0%
View this question

- це значення варіант?

0%
0%
View this question

E та  W – події, які полягають в тому, що випадково вибрана муха має відповідно мутації очей та крил.  Чи правильно позначена подія W, яка означає, що мухи з мутацією очей є ще і мутація крил?

0%
0%
View this question

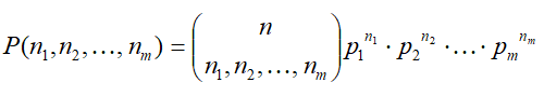
Якщо ( 2, 1, 0), то чому дорівнює поліноміальний коефіцієнт?

View this question

Яке число буде у комірці жовтого кольору?

View this question

d у формулі  означає різницю між рангами ознак?

0%
100%
View this question

Це формула біноміальної ймовірності?

0%
0%
View this question

До повторних випробувань належать випробування,

коли один і той же експеримент

виконується

декілька разів підряд

100%
0%
View this question

Це формула Байеса?

0%
100%
View this question

Want instant access to all verified answers on moodle.vnu.edu.ua?

Get Unlimited Answers To Exam Questions - Install Crowdly Extension Now!

Browser

Add to Chrome