logo

Crowdly

Browser

Add to Chrome

БІОМЕТРІЯ (д.ф.н., м/с, малокомплектні групи)

Looking for БІОМЕТРІЯ (д.ф.н., м/с, малокомплектні групи) test answers and solutions? Browse our comprehensive collection of verified answers for БІОМЕТРІЯ (д.ф.н., м/с, малокомплектні групи) at moodle.vnu.edu.ua.

Get instant access to accurate answers and detailed explanations for your course questions. Our community-driven platform helps students succeed!

(B\A)  множина елементів B

,

які не знаходяться в A

.

100%
0%
View this question

Якщо E  та  W – події, які полягають в тому, що випадково вибрана муха має відповідно мутації очей та крил.

Чи є правильним позначення події  

, що випадково вибрана муха має будь-яку одну

чи обидві мутації?

0%
0%
View this question

Ця формула показує значення величина ознаки, що розташована посередині ранжованого ряду вибірки?

0%
0%
View this question

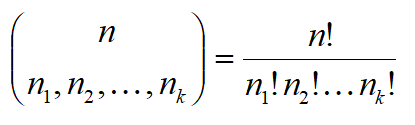
Якщо ( 1, 1, 1, 1), то чому дорівнює поліноміальний коефіцієнт?

View this question

100%
0%
View this question

хі - це значення варіанти:

0%
0%
View this question

Формулу  використовують для:

View this question
Вибірка містить наступні варіанти: 3, 4, 5, 6, 7. Вкажіть об'єм вибірки.
0%
0%
0%
0%
View this question

Якщо f (6,  1,  0,05), то чому дорівнює число випробувань?

View this question

Якщо z=0,21, чому дорівнює r?

View this question

Want instant access to all verified answers on moodle.vnu.edu.ua?

Get Unlimited Answers To Exam Questions - Install Crowdly Extension Now!

Browser

Add to Chrome