logo

Crowdly

Browser

Add to Chrome

БІОМЕТРІЯ (д.ф.н., м/с, малокомплектні групи)

Looking for БІОМЕТРІЯ (д.ф.н., м/с, малокомплектні групи) test answers and solutions? Browse our comprehensive collection of verified answers for БІОМЕТРІЯ (д.ф.н., м/с, малокомплектні групи) at moodle.vnu.edu.ua.

Get instant access to accurate answers and detailed explanations for your course questions. Our community-driven platform helps students succeed!

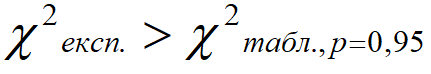
Нульова гіпотеза приймається, якщо 

0%
100%
View this question

при розрахунку критерія хі-квадрат позначають теоретичну (передбачену) частоту?

0%
0%
View this question

Чому дорівнює число ступенів вільності при аналізі цього нормального розподілу?

View this question

При використанні метода хі-квадрат, яке число буде в жовтій комірці?

View this question

Чому дорівнює функція

нормальної густини ймовірності, якщо нормоване відхилення - 0,05 (з точністю до тисячних)?

View this question

Число ступенів вільності дорівнює ?

View this question

Чому дорівнює , якщо ν=2

View this question

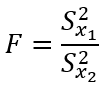
У формулі для коефіцієнта Фішера  використовують формулу  , де:

0%
0%
View this question

Ця формула вказана правильно?

0%
0%
View this question

t=0,3 , а ν =5

Чому дорівнює його ймовірність? (вкажіть число)

View this question

Want instant access to all verified answers on moodle.vnu.edu.ua?

Get Unlimited Answers To Exam Questions - Install Crowdly Extension Now!

Browser

Add to Chrome