logo

Crowdly

Browser

Add to Chrome

БІОМЕТРІЯ (д.ф.н., м/с, малокомплектні групи)

Looking for БІОМЕТРІЯ (д.ф.н., м/с, малокомплектні групи) test answers and solutions? Browse our comprehensive collection of verified answers for БІОМЕТРІЯ (д.ф.н., м/с, малокомплектні групи) at moodle.vnu.edu.ua.

Get instant access to accurate answers and detailed explanations for your course questions. Our community-driven platform helps students succeed!

Вкажіть правильну формулу, що визначається правилом Старджеса:
0%
0%
0%
0%
0%
0%
0%
View this question

На діаграмі Венна зеленим кольором позначено область, що відповідає АВ.

100%
0%
View this question

Стандартна

похибка процента наявного  ефекту за альтернатиіними показниками обчислюється:

0%
0%
0%
0%
0%
View this question
Вкажіть правильне продовження наступного визначення: «Кожне окреме значення, якого здатна набувати дана ознака, називається...»:
0%
0%
0%
0%
0%
View this question

Кількість

ступенів вільності позначають:

0%
0%
0%
0%
0%
View this question

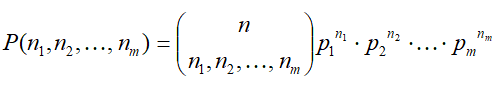
Це формула біноміальної ймовірності?

0%
100%
View this question

Малий обсяг сукупності є тоді, коли кількість даних у кожній групі є 20–30 ?

100%
0%
View this question

Вкажіть які із значень неможливі для коефіцієнту кореляції.

0%
0%
0%
0%
0%
0%
View this question

Якщо сріблястого карася можна вибрати  способами, а золотого карася - n способами, то вибрати сріблястого та золотого карасів можна  n×m  способами.

0%
0%
View this question

Як первинну гіпотезу запропоновано розподіл Пуассона.

Число ступенів вільності при цьому дорівнює ?

View this question

Want instant access to all verified answers on moodle.vnu.edu.ua?

Get Unlimited Answers To Exam Questions - Install Crowdly Extension Now!

Browser

Add to Chrome