logo

Crowdly

Browser

Add to Chrome

БІОМЕТРІЯ (д.ф.н., м/с, малокомплектні групи)

Looking for БІОМЕТРІЯ (д.ф.н., м/с, малокомплектні групи) test answers and solutions? Browse our comprehensive collection of verified answers for БІОМЕТРІЯ (д.ф.н., м/с, малокомплектні групи) at moodle.vnu.edu.ua.

Get instant access to accurate answers and detailed explanations for your course questions. Our community-driven platform helps students succeed!

На експериментальній і контрольній ділянках досліджено по 12 саджанців ялини. 

Вкажіть загальну кількість ступенів вільності (число) в обох групах.

View this question

Якщо f (6,  1,  0,05), то чому дорівнює ймовірність невдачі?

View this question

А, В та  С – події, які полягають в тому, що випадково вибрана людина має відповідно: чоловічу стать, світлі очі та кучеряве волосся.  Чи правильно позначена ймовірність вибору жінок серед людей з темними очима і прямим волоссям ?

0%
100%
View this question

При написанні начотних рядів вкажіть, яке число буде у жовтій клітинці?

View this question

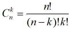
Для визначення числа сполучень використовують формулу ?

100%
0%
View this question

Стандартна

похибка процента відсутнього  ефекту за альтернативними показниками обчислюється:

0%
0%
0%
0%
0%
View this question

0%
0%
View this question

Якщо досліджуванні дискретні події мають дуже малу ймовірність, то такі події не можуть належати до розподілу Пуассона?

0%
100%
View this question

Цей кореляційний

зв'язок

:

0%
0%
0%
0%
0%
View this question

Події А та В

у скінченному просторі

ймовірностей

S називають незалежними, якщо

0%
0%
0%
0%
0%
View this question

Want instant access to all verified answers on moodle.vnu.edu.ua?

Get Unlimited Answers To Exam Questions - Install Crowdly Extension Now!

Browser

Add to Chrome