logo

Crowdly

Browser

Add to Chrome

БІОМЕТРІЯ (д.ф.н., м/с, малокомплектні групи)

Looking for БІОМЕТРІЯ (д.ф.н., м/с, малокомплектні групи) test answers and solutions? Browse our comprehensive collection of verified answers for БІОМЕТРІЯ (д.ф.н., м/с, малокомплектні групи) at moodle.vnu.edu.ua.

Get instant access to accurate answers and detailed explanations for your course questions. Our community-driven platform helps students succeed!

p(A) + p(Ā) = 0

0%
0%
View this question

С

ереднє

квадратичне відхилення при біноміальному розподілі можна обчислити за

формулою:

100%
0%
View this question
Яку мету з нижченаведених переслідує розподіл вихідних даних у варіаційний ряд?
0%
0%
0%
0%
0%
View this question

У формулі     

  означає:

View this question
Які з нижчеперелічених ознак слід віднести до якісних?
0%
0%
0%
0%
View this question

Якщо E  та  W – події, які полягають в тому, що випадково вибрана муха має відповідно мутації очей та крил.

Чи є правильним позначення події 

, що випадково вибрана муха має будь-яку одну

чи обидві мутації?

0%
0%
View this question

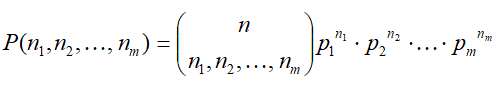
Це формула поліноміальної ймовірності?

0%
0%
View this question

Із графічного зображення емпіричних ліній регресії зробіть висновок про характер зв'язку.

0%
0%
0%
View this question
Нехай А та В – дві множини.  Перетин їх позначається ?

0%
100%
View this question

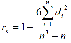
d у формулі  означає різницю між рангами ознак?

0%
100%
View this question

Want instant access to all verified answers on moodle.vnu.edu.ua?

Get Unlimited Answers To Exam Questions - Install Crowdly Extension Now!

Browser

Add to Chrome