logo

Crowdly

Browser

Add to Chrome

БІОМЕТРІЯ (д.ф.н., м/с, малокомплектні групи)

Looking for БІОМЕТРІЯ (д.ф.н., м/с, малокомплектні групи) test answers and solutions? Browse our comprehensive collection of verified answers for БІОМЕТРІЯ (д.ф.н., м/с, малокомплектні групи) at moodle.vnu.edu.ua.

Get instant access to accurate answers and detailed explanations for your course questions. Our community-driven platform helps students succeed!

Якщо f (8,  6,  0,2), то чому дорівнює число невдач?

View this question

Якщо f (5,  3,  0,55), то чому дорівнює ймовірність невдачі?

View this question

Це формула Байеса?

0%
0%
View this question

Якщо скінчений простір ймовірностей S розбито на підмножини S1, S2, ..., Sn, що не перетинаються, то для будь-якої події E в S є правильною формула:

де k=1, 2, , n (k ціле додатне число).

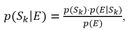
Це теорема Байєса?

100%
0%
View this question

Це теорема:

0%
0%
0%
0%
0%
View this question

У просторі рівних ймовірностей

 

100%
0%
View this question

За визначенням умовної ймовірності для подій А, В та С: 

100%
0%
View this question

На діаграмі Венна забарвлена область відповідає.

100%
0%
View this question

Згідно діаграми Венна .

0%
0%
View this question

E та  W – події, які полягають в тому, що випадково вибрана муха має відповідно мутації очей та крил.  Чи правильно позначена подія WЕ, яка означає що муха має мутації очей і крил?

100%
0%
View this question

Want instant access to all verified answers on moodle.vnu.edu.ua?

Get Unlimited Answers To Exam Questions - Install Crowdly Extension Now!

Browser

Add to Chrome