logo

Crowdly

Browser

Add to Chrome

БІОМЕТРІЯ (д.ф.н., м/с, малокомплектні групи)

Looking for БІОМЕТРІЯ (д.ф.н., м/с, малокомплектні групи) test answers and solutions? Browse our comprehensive collection of verified answers for БІОМЕТРІЯ (д.ф.н., м/с, малокомплектні групи) at moodle.vnu.edu.ua.

Get instant access to accurate answers and detailed explanations for your course questions. Our community-driven platform helps students succeed!

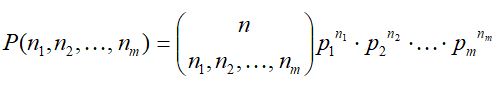
формула застосовується у методі:

View this question

Ця формула використовується в методі сум?

0%
100%
View this question

При написанні начотних рядів вкажіть, яке число буде у жовтій клітинці?

View this question

Чому дорівнює  умовна середня ? 

View this question

Ця формула показує значення величина ознаки, що розташована посередині ранжованого ряду вибірки?

0%
0%
View this question

формула застосовується у методі (методах):

View this question
Вибірка містить наступні варіанти: 3, 4, 5. Вкажіть об'єм вибірки.
0%
0%
0%
0%
View this question

Це формула біноміальної ймовірності?

0%
0%
View this question

Це формула біноміальної ймовірності?

0%
100%
View this question

Якщо f (8,  6,  0,2), то чому дорівнює число успіхів?

View this question

Want instant access to all verified answers on moodle.vnu.edu.ua?

Get Unlimited Answers To Exam Questions - Install Crowdly Extension Now!

Browser

Add to Chrome