logo

Crowdly

Browser

Add to Chrome

БІОМЕТРІЯ (д.ф.н., м/с, малокомплектні групи)

Looking for БІОМЕТРІЯ (д.ф.н., м/с, малокомплектні групи) test answers and solutions? Browse our comprehensive collection of verified answers for БІОМЕТРІЯ (д.ф.н., м/с, малокомплектні групи) at moodle.vnu.edu.ua.

Get instant access to accurate answers and detailed explanations for your course questions. Our community-driven platform helps students succeed!

А, В та  С – події, які полягають в тому, що випадково вибрана людина має відповідно: чоловічу стать, світлу шкіру та кучеряве волосся.  Чи правильно позначена ймовірність вибору чоловіків серед  світлошкірих людей з кучерявим волоссям ?

0%
0%
View this question

При використанні метода хі-квадрат, яке число буде в жовтій комірці?

View this question

А, В та  С – події, які полягають в тому, що випадково вибрана людина має відповідно: чоловічу стать, світлу шкіру та кучеряве волосся.  Чи правильно позначена ймовірність вибору чоловіків серед людей з темною шкірою і прямим волоссям ?

0%
100%
View this question

Чому дорівнює b?

View this question

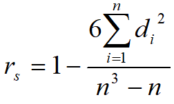
Це формула:

0%
0%
0%
0%
0%
View this question

середній

процент відсутності ефекту для обох груп альтернативних сукупностей?

0%
0%
View this question
Нехай А та В – дві множини.  Перетин їх позначається А∩В ?

0%
0%
View this question

На діаграмі Венна вся зафарбована область відповідає.

100%
0%
View this question

Вкажіть значення у виділеній комірці.

View this question

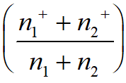
Стандартну

похибку різниці між процентами двох досліджуваних груп обчислюють за формулою:

0%
0%
View this question

Want instant access to all verified answers on moodle.vnu.edu.ua?

Get Unlimited Answers To Exam Questions - Install Crowdly Extension Now!

Browser

Add to Chrome