logo

Crowdly

Browser

Add to Chrome

БІОМЕТРІЯ (д.ф.н., м/с, малокомплектні групи)

Looking for БІОМЕТРІЯ (д.ф.н., м/с, малокомплектні групи) test answers and solutions? Browse our comprehensive collection of verified answers for БІОМЕТРІЯ (д.ф.н., м/с, малокомплектні групи) at moodle.vnu.edu.ua.

Get instant access to accurate answers and detailed explanations for your course questions. Our community-driven platform helps students succeed!

Яке число ступенів вільності при цьому біноміальному розподілі?

View this question

Якщо E  та  W – події, які полягають в тому, що випадково вибрана муха має відповідно мутації очей та крил.

Чи є правильним позначення події  ,

що у

випадково вибраної мухи є мутація 

крил але немає мутації очей?

0%
0%
View this question

Чи є правильною формула? Якщо скінчений простір ймовірностей S розбито на підмножини S1, S2, ..., Sn, що не перетинаються, то для будь-якої події E в S :  p(E)=∑(p(Sn)×p(E|Sn)) 

0%
0%
View this question

На діаграмі Венна темно-зеленим показано область, що відповідає.

0%
100%
View this question

Вкажіть значення у виділеній комірці.

View this question

Синім кольором показана теоретична лінія регресії?

0%
0%
View this question

При використанні метода хі-квадрат, яке число буде в жовтій комірці?

View this question

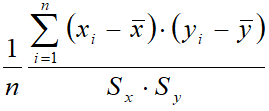
Це коефіцієнт коваріації?

0%
0%
View this question

При підрахунку медіани чому дорівнює  ?

View this question

Яке значення в жовтій комірці?

View this question

Want instant access to all verified answers on moodle.vnu.edu.ua?

Get Unlimited Answers To Exam Questions - Install Crowdly Extension Now!

Browser

Add to Chrome