logo

Crowdly

Browser

Add to Chrome

Математичні методи в біології

Looking for Математичні методи в біології test answers and solutions? Browse our comprehensive collection of verified answers for Математичні методи в біології at moodle.vnu.edu.ua.

Get instant access to accurate answers and detailed explanations for your course questions. Our community-driven platform helps students succeed!

Якщо Fексп >Fтабл, р=0,95 , то 

різниця в

мінливості між обома групами істотна 

з ймовірністю р≥0,95 ?

100%
0%
View this question

Яка ймовірність вказана у жовтій комірці?

View this question

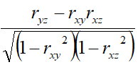
Формула для визначення

частинного коефіцієнта кореляції між

ознаками ознаками У та Z

при сталій величині ознаки

X

буде

мати вигляд:

0%
0%
0%
View this question

формула застосовується у методі:

View this question

На графіку кореляційний

зв'язок ...

0%
0%
0%
0%
0%
View this question

Ця формула використовується в методі добутків?

0%
100%
View this question

Коефіцієнт парціальної кореляції позначають:

0%
View this question

При обчисленні критерію хі-квадрат неможна використовувати експериментальні

вибірки таких обсягів:

View this question

Чому дорівнює число ступенів вільності при аналізі характера двох експериментальних розподілів?

View this question

Яка теоретична частота (з точністю до цілих) буде при розподілі Пуассона, в жовтій комірці?

View this question

Want instant access to all verified answers on moodle.vnu.edu.ua?

Get Unlimited Answers To Exam Questions - Install Crowdly Extension Now!

Browser

Add to Chrome