Looking for Математичні методи в біології test answers and solutions? Browse our comprehensive collection of verified answers for Математичні методи в біології at moodle.vnu.edu.ua.
Get instant access to accurate answers and detailed explanations for your course questions. Our community-driven platform helps students succeed!
Для більшої дисперсії ν=4, для меншої дисперсії ν=19, чому дорівнює Fтабл. при р=0,95 ?
t=0,8 , ν =12
Чому дорівнює його ймовірність? (вкажіть число)
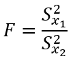
У формулі для коефіцієнта Фішера використовують формулу , де:
У формулі
означає:
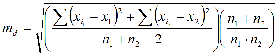
Ця формула вказана правильно?
Формулу використовують для:
Чому дорівнює функція нормальної густини ймовірності, якщо нормоване відхилення - 0,22 (з точністю до тисячних)?
Чому дорівнює число ступенів вільності при аналізі цього нормального розподілу?
Число ступенів вільності дорівнює ?
При використанні метода хі-квадрат, яке число буде в жовтій комірці?