logo

Crowdly

Browser

Add to Chrome

Математичні методи в біології

Looking for Математичні методи в біології test answers and solutions? Browse our comprehensive collection of verified answers for Математичні методи в біології at moodle.vnu.edu.ua.

Get instant access to accurate answers and detailed explanations for your course questions. Our community-driven platform helps students succeed!

Коефіцієнт множинної кореляції позначають:

0%
0%
View this question

Більш точною мірою

корелятивного зв'язку є:

0%
0%
View this question

Критерій Пірсона обчислюють за формулою:

0%
0%
0%
0%
View this question

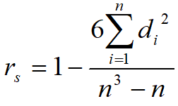
d у формулі  означає різницю між стандартними похибками ознак?

0%
0%
View this question

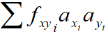
Порахуйте значення суми потрійного добутку  у жовтій комірці?

View this question
Виберіть правильний приклад з дискретним типом мінливості:
0%
0%
0%
0%
0%
View this question

Яка теоретична частота (з точністю до цілих) буде при розподілі Пуассона, в жовтій комірці?

View this question

Число ступенів вільності при цьому роподілі Пуассона дорівнює ?

View this question

Число ступенів вільності дорівнює ?

View this question

Want instant access to all verified answers on moodle.vnu.edu.ua?

Get Unlimited Answers To Exam Questions - Install Crowdly Extension Now!

Browser

Add to Chrome