logo

Crowdly

Browser

Add to Chrome

Математичні методи в біології

Looking for Математичні методи в біології test answers and solutions? Browse our comprehensive collection of verified answers for Математичні методи в біології at moodle.vnu.edu.ua.

Get instant access to accurate answers and detailed explanations for your course questions. Our community-driven platform helps students succeed!

Чому дорівнює , якщо ν=3

View this question

формула застосовується у методі (методах):

View this question

Імовірність нездійснення поодинокої дискретної події позначають літерою:

View this question

Жовтим кольором показаний 2-й квадрант.

0%
0%
View this question

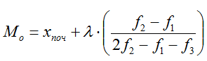
У формулі     

  означає:

View this question

Ця формула показує значення випадкової величини, що трапляється найчастіше в сукупності спостережень?

0%
0%
View this question

Чому дорівнює а?

View this question

Якщо Fексп <Fтабл, р=0,95 , то 

різниця в

мінливості між обома групами

істотна з ймовірністю р≥0,95 ?

100%
0%
View this question

Якщо досліджують біноміальний розподіл, то 

ν=

0%
0%
0%
0%
0%
View this question

Якщо r=0,71, чому дорівнює z?

View this question

Want instant access to all verified answers on moodle.vnu.edu.ua?

Get Unlimited Answers To Exam Questions - Install Crowdly Extension Now!

Browser

Add to Chrome