logo

Crowdly

Browser

Add to Chrome

Математичні методи в біології

Looking for Математичні методи в біології test answers and solutions? Browse our comprehensive collection of verified answers for Математичні методи в біології at moodle.vnu.edu.ua.

Get instant access to accurate answers and detailed explanations for your course questions. Our community-driven platform helps students succeed!

Відібрана для дослідження частина генеральної сукупності називається:
0%
0%
0%
0%
View this question
Вкажіть ранжировані ряди:
0%
0%
0%
0%
0%
View this question

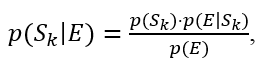
Якщо скінчений простір

ймовірностей

S розбито на підмножини S1, S2, ..., Sn, що не перетинаються, то для будь-якої події E в S :

p(E)=∑(p(Sn)×p(E|Sn))   

Чи є правильною формула?

100%
0%
View this question

Якщо f (3,  2,  0,3), то чому дорівнює ймовірність успіху?

View this question

До повторних випробувань належать випробування,

коли один і той же експеримент

виконується повторно? 

100%
0%
View this question

Це формула Байеса?

0%
0%
View this question

Якщо скінчений простір ймовірностей S розбито на підмножини S1, S2, ..., Sn, що не перетинаються, то для будь-якої події E в S є правильною формула:

де k=1, 2, , n (k ціле додатне число).

Це теорема Байєса?

100%
0%
View this question

Якщо f (8,  5,  0,9), то чому дорівнює число невдач?

View this question

Гра у хрестики-ноліки є повторним випробуванням?

0%
0%
View this question

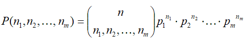
Це формула поліноміальної ймовірності?

0%
0%
View this question

Want instant access to all verified answers on moodle.vnu.edu.ua?

Get Unlimited Answers To Exam Questions - Install Crowdly Extension Now!

Browser

Add to Chrome