logo

Crowdly

Browser

Add to Chrome

Математичні методи в біології

Looking for Математичні методи в біології test answers and solutions? Browse our comprehensive collection of verified answers for Математичні методи в біології at moodle.vnu.edu.ua.

Get instant access to accurate answers and detailed explanations for your course questions. Our community-driven platform helps students succeed!

Із графічного зображення емпіричних ліній регресії зробіть висновок про характер зв'язку.

View this question

Чому дорівнює ?

View this question

Як первинну гіпотезу запропоновано розподіл Пуассона.

Число ступенів вільності при цьому дорівнює ?

View this question

Чому дорівнює ψбін. у класі з кількістю подій 2, якщо було 6 класів?

View this question

Значення висоти сосен (в межах біологічної мінливості ознаки) може підпорядковуватись закону Пуассона?

0%
0%
View this question

Чому дорівнює ?

View this question

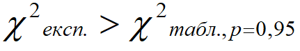
Різниця в

розподілах істотна, якщо 

100%
0%
View this question

Чому дорівнює функція

нормальної густини ймовірності, якщо нормоване відхилення - 0,50 (з точністю до тисячних)?

View this question

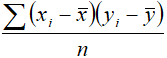
Це коефіцієнт коваріації?

100%
0%
View this question

Біноміальний коефіцієнт  при підрахунку теоретичних частот позначають грецькою літерою:

0%
0%
0%
0%
0%
View this question

Want instant access to all verified answers on moodle.vnu.edu.ua?

Get Unlimited Answers To Exam Questions - Install Crowdly Extension Now!

Browser

Add to Chrome