logo

Crowdly

Browser

Add to Chrome

BAED-BUSC2112 Basic Calculus

Looking for BAED-BUSC2112 Basic Calculus test answers and solutions? Browse our comprehensive collection of verified answers for BAED-BUSC2112 Basic Calculus at shs.amaes.com.

Get instant access to accurate answers and detailed explanations for your course questions. Our community-driven platform helps students succeed!

What is the definite integral of:

View this question

Evaluate:

View this question

Evaluate:

\(\Large \int_{3}^{4} [(x^2-4x)-(x^3-6x^2+8x)] dx

View this question

Evaluate the exponential function below from x = 2 up to x = 3.

View this question

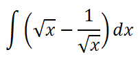
Evaluate the radical function below from x = 1 up to x = 5.

View this question

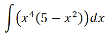
Evaluate the polynomial function below from x = 1 up to x = 5.

View this question

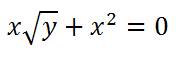
Evaluate the first derivative of the function below at (1, -2).

View this question

Evaluate the trigonometric function below from θ = 2 up to θ = 3.

The associated angles are in radians.

View this question

Evaluate the first derivative of the function below at (1, -2).

View this question

Evaluate the function below from x = 1 up to x = 3.

All associated angles are in radians.

View this question

Want instant access to all verified answers on shs.amaes.com?

Get Unlimited Answers To Exam Questions - Install Crowdly Extension Now!

Browser

Add to Chrome