logo

Crowdly

Browser

Add to Chrome

BAED-BUSC2112 Basic Calculus

Looking for BAED-BUSC2112 Basic Calculus test answers and solutions? Browse our comprehensive collection of verified answers for BAED-BUSC2112 Basic Calculus at shs.amaes.com.

Get instant access to accurate answers and detailed explanations for your course questions. Our community-driven platform helps students succeed!

Suppose that a radioactive substance decays at a rate of 3.5% every hour. What percentage of it is left after 6 hours?

View this question

Evaluate the function below from x = 1 up to x = 3.

All associated angles are in radians.

View this question

Evaluate the function below from x = 1 up to x = 4.

View this question

Evaluate the trigonometric function below from x = 2 up to x = 3.

The associated angles are in radians.

View this question

A light is hung 15 ft above a straight horizontal path. If a man 6 feet tall is walking away from the light at the rate of 5 ft/s, how fast is his shadow lengthening?

View this question

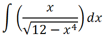
Evaluate the polynomial function below from x = 2 up to x = 3.

View this question

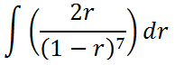
Evaluate the polynomial function below from r = 2 up to r = 3.

View this question

What is the definite integral of:

View this question

What is the definite integral of:

View this question

Find the area underneath the curve. Write your answer corresponds to the problem below. Express your answer into 2 decimal places.

View this question

Want instant access to all verified answers on shs.amaes.com?

Get Unlimited Answers To Exam Questions - Install Crowdly Extension Now!

Browser

Add to Chrome