logo

Crowdly

Browser

Add to Chrome

BAED-BUSC2112 Basic Calculus

Looking for BAED-BUSC2112 Basic Calculus test answers and solutions? Browse our comprehensive collection of verified answers for BAED-BUSC2112 Basic Calculus at shs.amaes.com.

Get instant access to accurate answers and detailed explanations for your course questions. Our community-driven platform helps students succeed!

The half-life of a certain substance is 3 hours. How long does it take so that only 1/10 of its original amount is left?

View this question

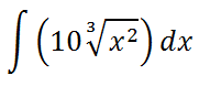
Evaluate the radical function below from x = 1 up to x = 5.

View this question

Evaluate the function below from x = 1 up to x = 3.

All associated angles are in radians.

View this question

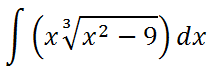
Evaluate the radical function below from x = 2 up to x = 3.

View this question

Evaluate the function below from x = 2 up to x = 4.

All associated angles are in radians.

View this question

Which of the following is the particular solution of:

x

0%
0%
0%
0%
View this question

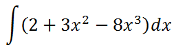
Evaluate the polynomial function below from x = 1 up to x = 5.

View this question

Evaluate the trigonometric function below from x = 1 up to x = 5.

The associated angles are in radians.

View this question

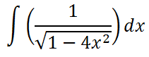
Evaluate the function below from x = 2 up to x = 4.

All associated angles are in radians.

View this question

Evaluate the exponential function below from x = 2 up to x = 3.

View this question

Want instant access to all verified answers on shs.amaes.com?

Get Unlimited Answers To Exam Questions - Install Crowdly Extension Now!

Browser

Add to Chrome