logo

Crowdly

Browser

Add to Chrome

PCG26 - 20 DE NOVIEMBRE -1 PM

Looking for PCG26 - 20 DE NOVIEMBRE -1 PM test answers and solutions? Browse our comprehensive collection of verified answers for PCG26 - 20 DE NOVIEMBRE -1 PM at upanama.pruebasadmision.bextsa.com.

Get instant access to accurate answers and detailed explanations for your course questions. Our community-driven platform helps students succeed!

¿Cuál de las siguientes opciones cambiará el valor de una constante de equilibrio? 

0%
0%
0%
0%
100%
View this question

Si un objeto de 5.00 kg se levanta a una altura de 3.00 m, ¿cuál es el

trabajo realizado contra la gravedad?

(Considerar g = 9.8 m/s2)

0%
100%
0%
0%
0%
View this question

¿Qué proceso convierte la energía luminosa en energía química en las plantas?

0%
0%
0%
0%
0%
View this question
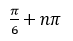
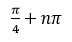
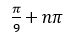
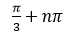
Resuelva la siguiente ecuación trigonométrica tan2x=3
0%
100%
0%
0%
0%
View this question
Una carga de 2.0 µC genera un campo eléctrico. ¿Cuál es la magnitud del campo eléctrico a 0.05 m de la carga? (Considerar k = 9 x109 Nm2/C2)

100%
0%
0%
0%
0%
View this question

¿Cuál es el principal componente de las membranas celulares?

0%
0%
0%
0%
0%
View this question

El

porcentaje en masa de hidrógeno de la morfina (C

17H19NO3) es:

0%
0%
100%
0%
0%
View this question

Una de las siguientes opciones corresponde al descubridor del neutrón:

0%
0%
0%
0%
0%
View this question
Fuerzas intermoleculares que enlazan a una sustancia con una superficie ____. 
0%
0%
100%
0%
0%
View this question

Encuentre la ecuación de la parábola con vértice en el origen y 

0%
0%
0%
0%
0%
View this question

Want instant access to all verified answers on upanama.pruebasadmision.bextsa.com?

Get Unlimited Answers To Exam Questions - Install Crowdly Extension Now!

Browser

Add to Chrome