logo

Crowdly

Browser

Add to Chrome

Теорія автоматичного керування [02561]

Looking for Теорія автоматичного керування [02561] test answers and solutions? Browse our comprehensive collection of verified answers for Теорія автоматичного керування [02561] at vns.lpnu.ua.

Get instant access to accurate answers and detailed explanations for your course questions. Our community-driven platform helps students succeed!

Які параметри аперіодичної ланки першого порядку можна знайти за її експериментальною кривою розгону?
0%
100%
0%
100%
0%
0%
View this question
Визначте значення (наближено) коефіцієнта заникання для зображеного перехідного процесу із застосованим ПІ-регулятором.

0%
0%
0%
0%
100%
0%
View this question

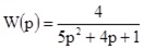
Яка програма в середовищі Matlab призначена для побудови імпульсної перехідної функції замкнутої САР при зміні заданого значення? Функція передачі об’єкта регулювання ,  регулятора WАР(p)=2.

0%
0%
100%
0%
0%
View this question
Виберіть, який вигляд мають перехідні функції двох аперіодичних ланок першого порядку з різними коефіцієнтами передачі і однаковими сталими часу.
0%
0%
0%
View this question
Визначте значення статичної похибки регулювання для зображеного перехідного процесу із застосованим ПІ-регулятором.

View this question

Графік якого детермінованого сигналу зображено на рисунку?

View this question
Визначте значення максимального динамічного відхилення для зображеного перехідного процесу із застосованим ПІ-регулятором.

View this question
Логарифмічна амплітудно-частотна характеристика якої ланки показана на рисунку?

View this question

Яка програма в середовищі Matlab призначена для побудови імпульсної перехідної функції замкнутої САР при зміні заданого значення? Функція передачі об’єкта регулювання ,  регулятора WАР(p)=2.

0%
100%
0%
0%
0%
View this question
Яке визначення фазо-частотної характеристики (ФЧХ) елементу є правильним?
View this question

Want instant access to all verified answers on vns.lpnu.ua?

Get Unlimited Answers To Exam Questions - Install Crowdly Extension Now!

Browser

Add to Chrome