logo

Crowdly

Browser

Add to Chrome

Теорія автоматичного керування [02561]

Looking for Теорія автоматичного керування [02561] test answers and solutions? Browse our comprehensive collection of verified answers for Теорія автоматичного керування [02561] at vns.lpnu.ua.

Get instant access to accurate answers and detailed explanations for your course questions. Our community-driven platform helps students succeed!

Графік якого перехідного процесу регулювання зображено на рисунку?

View this question
Як знайти функцію передачі зустрічно-паралельного з’єднання ланок W1 (зворотний додатний зв'язок) та W2?

View this question
Функція передачі  є моделлю … (виберіть правильну відповідь)
100%
0%
0%
0%
0%
View this question
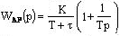
Знайдіть функцію передачі промислового регулятора, структурна схема якого показана на рисунку, за умови, що k >> 1

0%
0%
0%
0%
View this question
Визначте значення запасу стійкості по амплітуді для зображеної АФХ розімкнутої системи?

0%
0%
0%
0%
0%
0%
0%
100%
View this question
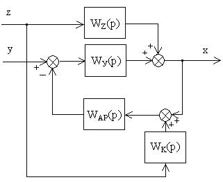
Яка функція передачі компенсатора Wk(p) забезпечить інваріантність САР, схема якої показана на рисунку, якщо функція передачі OP за збуренням Wz(p)=1/(25p+1), за регулюючою дією Wy(p)=0.1/p і регулятора WAP(p)=2(1+1/25p)

0%
0%
0%
0%
View this question
Яка функція передачі компенсатора Wk(p) забезпечить інваріантність САР, схема якої показана на рисунку, якщо функціяпередачі OP за збуренням Wz(p)=0,1/p, за регулюючою дією Wy(p)= 4/(100p+1) і регулятора WAP(p)=2(1+1/25p)?

0%
0%
0%
0%
View this question
Якою є функція передачі АР, показаного на рисунку? (прийняти е-рτ ≈1-рτ)

0%
0%
0%
0%
View this question
Яка функція передачі компенсатора Wk(p) забезпечить інваріантність САР, схема якої показана на рисунку, якщо функція передачі OP за збуренням Wz(p)=1/(25p+1), за регулюючою дією Wy(p)=0.1/p і регулятора WAP(p)=1+1/(25p)?

View this question
Структурна схема якого регулятора показана на рисунку (прийняти е-рτ ≈1-рτ)?

View this question

Want instant access to all verified answers on vns.lpnu.ua?

Get Unlimited Answers To Exam Questions - Install Crowdly Extension Now!

Browser

Add to Chrome