logo

Crowdly

Browser

Add to Chrome

Теорія автоматичного керування [02561]

Looking for Теорія автоматичного керування [02561] test answers and solutions? Browse our comprehensive collection of verified answers for Теорія автоматичного керування [02561] at vns.lpnu.ua.

Get instant access to accurate answers and detailed explanations for your course questions. Our community-driven platform helps students succeed!

Лінеаризуйте рівняння  в околі точки х0 =1, y0=y(х0) і вкажіть правильну відповідь. (e-1 =0,368).
View this question
Виберіть функцію передачі, що відповідає диференціальному рівнянню  з нульовими початковими умовами:
0%
0%
0%
0%
View this question
Якій функції передачі елемента відповідає перехідна функція  ?
0%
0%
0%
View this question
Як називається характеристика елемента, що встановлює взаємозв’язок його вихідного сигналу з вхідним синусоїдальним сигналом в усталеному режимі і визначається з формули  ?
0%
0%
0%
0%
View this question
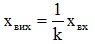
Якою буде модель зустрічно-паралельного з’єднання лінійного елемента з коефіцієнтом передачі k у прямому зв’язку і нелінійного елемента зі статичною моделлю  у від’ємному зворотному зв’язку, за умови, що k>>1?
0%
0%
0%
0%
View this question
Якою буде модель зустрічно-паралельного з’єднання лінійного елемента з коефіцієнтом передачі k у прямому зв’язку і нелінійного елемента зі статичною моделлю  у від’ємному зворотному зв’язку, за умови, що k>>1?
0%
0%
0%
0%
View this question

Яка статична характеристика відповідає об’єкту регулювання, показаному на рисунку?

0%
0%
0%
0%
View this question
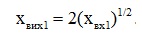
Статична модель першого з двох послідовно з’єднаних елементів описується рівнянням Якою має бути модель другого елемента, щоб статична модель цілого з’єднання описувалась рівнянням ?
0%
0%
0%
0%
View this question
Якому регулятору відповідає структурна схема, показана на рисунку?

View this question
На рисунку наведено структурну схему:

View this question

Want instant access to all verified answers on vns.lpnu.ua?

Get Unlimited Answers To Exam Questions - Install Crowdly Extension Now!

Browser

Add to Chrome