logo

Crowdly

Browser

Add to Chrome

Теорія автоматичного керування [02561]

Looking for Теорія автоматичного керування [02561] test answers and solutions? Browse our comprehensive collection of verified answers for Теорія автоматичного керування [02561] at vns.lpnu.ua.

Get instant access to accurate answers and detailed explanations for your course questions. Our community-driven platform helps students succeed!

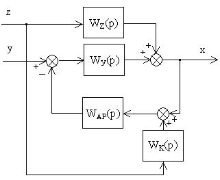
Яка функція передачі компенсатора Wk(p) забезпечить інваріантність САР, схема якої показана на рисунку, якщо функція передачі OP за збуренням Wz(p)=1/(25p+1), за регулюючою дією Wy(p)=0.1/p і регулятора WAP(p)=2(1+1/25p)

View this question
Яка коректуюча ланка Wk(p) застосована в САР, що показана на рисунку?

View this question
Що таке теорія інваріантності?
View this question
Структурна схема якого регулятора показана на рисунку (прийняти е-рτ ≈1-рτ)?

View this question

Якою буде лінійна замкнута САР, якщо характеристичне рівняння

розімкнутої САР має один додатний корінь і амплітудно-фазова

характеристика розімкнутої САР має вигляд, показаний на рисунку?

0%
0%
0%
0%
View this question

Якою буде лінійна замкнута САР, якщо характеристичне рівняння

розімкнутої САР має два додатних кореня і амплітудно-фазова

характеристика розімкнутої САР має вигляд, показаний на рисунку?

0%
0%
0%
0%
View this question
САР з коефіцієнтом передачі П-регулятора  і з функцією передачі  об’єкта регулювання є… (виберіть правильний варіант відповіді):
View this question

Якою буде лінійна замкнута САР, якщо амплітудно-фазова характеристика стійкої розімкнутої САР має вигляд, показаний на рисунку?

0%
0%
0%
0%
View this question
САР з I-регулятором  і з функцією передачі об’єкта регулювання   є … (виберіть правильний варіант відповіді):
0%
0%
0%
0%
View this question
Яким рівнянням описують складову розв’язку диференціального рівняння за наявності спряжених комплексних коренів (α±іω) характеристичного рвняння?
0%
0%
0%
0%
View this question

Want instant access to all verified answers on vns.lpnu.ua?

Get Unlimited Answers To Exam Questions - Install Crowdly Extension Now!

Browser

Add to Chrome