logo

Crowdly

Browser

Add to Chrome

Вища математика-2 (для студентів спеціальності: 102 Хімія).

Looking for Вища математика-2 (для студентів спеціальності: 102 Хімія). test answers and solutions? Browse our comprehensive collection of verified answers for Вища математика-2 (для студентів спеціальності: 102 Хімія). at distedu.ukma.edu.ua.

Get instant access to accurate answers and detailed explanations for your course questions. Our community-driven platform helps students succeed!

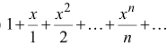
Знайдіть інтервал збіжності степеневого ряду 

View this question

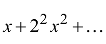
Знайдіть радіус збіжності степеневого ряду 

View this question

Знайдіть коефіцієнт при восьмому члені розкладання  у ряд Маклорена. У разі потреби, відповідь подати правильним або неправильним скороченим дробом

View this question

Знайдіть коефіцієнт при сьомому члені розкладання у ряд Маклорена. У разі потреби, відповідь подати неправильним скороченим дробом

View this question

Подайте розв’язок диференціального рівняння  у вигляді  . У відповідь запишіть значення

View this question

Визначте функцію яка є розв’язком задачі Коші  

У відповідь запишіть значення 

View this question

Задано функцію . Обчисліть .

View this question

Для функції визначте координати стаціонарної точки . У відповідь запишіть суму .

View this question

Задано функцію . Обчисліть  .

View this question

Визначте значення , при якому .

View this question

Want instant access to all verified answers on distedu.ukma.edu.ua?

Get Unlimited Answers To Exam Questions - Install Crowdly Extension Now!

Browser

Add to Chrome