logo

Crowdly

Browser

Add to Chrome

Вища математика-2 (для студентів спеціальності: 102 Хімія).

Looking for Вища математика-2 (для студентів спеціальності: 102 Хімія). test answers and solutions? Browse our comprehensive collection of verified answers for Вища математика-2 (для студентів спеціальності: 102 Хімія). at distedu.ukma.edu.ua.

Get instant access to accurate answers and detailed explanations for your course questions. Our community-driven platform helps students succeed!

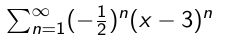
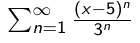
Дано ряд: . Інтервал збіжності цього ряду  -

0%
0%
0%
50%
View this question

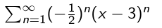
Дано ряд: . Область збіжності цього ряду  - ?

Увага до поведінки ряду на кінцях інтервалу збіжності!

0%
0%
0%
0%
View this question

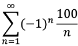
Дано ряд: . Вкажіть правильні твердження

0%
0%
0%
0%
View this question

Поставити у відповідність функції множину всіх точок збіжності її ряду

View this question

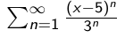
Дано ряд: . Область збіжності цього ряду  - ?

Увага до поведінки ряду на кінцях інтервалу збіжності! Відповідь подавати у відповідних дужках, числа розділяти крапкою/комою, жодних пробілів

View this question

Дано ряд: . Інтервал збіжності цього ряду  . Відповідь подавати, обираючі відповідьні дужки, числа розділяти крапкою/комою, жодних пробілів

View this question

Want instant access to all verified answers on distedu.ukma.edu.ua?

Get Unlimited Answers To Exam Questions - Install Crowdly Extension Now!

Browser

Add to Chrome