logo

Crowdly

Browser

Add to Chrome

Вища математика-2 (для студентів спеціальності: 102 Хімія).

Looking for Вища математика-2 (для студентів спеціальності: 102 Хімія). test answers and solutions? Browse our comprehensive collection of verified answers for Вища математика-2 (для студентів спеціальності: 102 Хімія). at distedu.ukma.edu.ua.

Get instant access to accurate answers and detailed explanations for your course questions. Our community-driven platform helps students succeed!

0%
0%
0%
0%
View this question

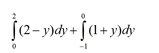
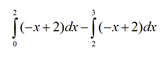
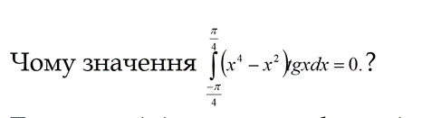
Який з виразів правильний

0%
0%
0%
0%
View this question

0%
0%
0%
View this question

0%
0%
0%
View this question

View this question

View this question

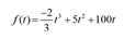
Записати формулу, що дозволить розрахувати площу виділеної області на схематичному зображенні

 

0%
0%
0%
0%
View this question

View this question

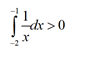
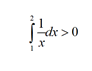
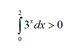
Скористайтесь властивостями визначених інтегралів, щоб визначити,  який з виразів правильний

0%
0%
View this question

0%
0%
0%
0%
View this question

Want instant access to all verified answers on distedu.ukma.edu.ua?

Get Unlimited Answers To Exam Questions - Install Crowdly Extension Now!

Browser

Add to Chrome