logo

Crowdly

Browser

Add to Chrome

Вища математика-2 (для студентів спеціальності: 102 Хімія).

Looking for Вища математика-2 (для студентів спеціальності: 102 Хімія). test answers and solutions? Browse our comprehensive collection of verified answers for Вища математика-2 (для студентів спеціальності: 102 Хімія). at distedu.ukma.edu.ua.

Get instant access to accurate answers and detailed explanations for your course questions. Our community-driven platform helps students succeed!

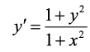
Знайдіть коефіцієнт при третьому члені наближеного розв’язку задачі Коші . Відповідь подавати звичайним скороченим дробом

View this question

Знайдіть коефіцієнт при другому члені наближеного розв’язку задачі Коші 

View this question

Знайдіть коефіцієнт при першому члені наближеного розв’язку задачі Коші 

View this question

Знайдіть значення константи С  до задачі Коші. y(0)=1. У відповіді подавати тільки число, якщо буде потрібно подати , скористайтесь Pi латинецею

View this question

Знайдіть коефіцієнт при розкладання  у ряд Маклорена. Відповідь подати неправильним скороченим дробом

View this question

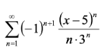
Знайдіть інтервал збіжності степенвого ряду . Відповідь подати латинецею

View this question

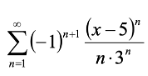
Знайдіть радіус збіжності R степеневого ряду 

View this question

Поставити у відповідність функції її ряд

View this question

Дано ряд:  Загальний коефіцієнт цього ряду  - це

0%
0%
0%
View this question

Дано ряд: . Інтервал збіжності цього ряду  -

50%
0%
0%
50%
View this question

Want instant access to all verified answers on distedu.ukma.edu.ua?

Get Unlimited Answers To Exam Questions - Install Crowdly Extension Now!

Browser

Add to Chrome