logo

Crowdly

Browser

Add to Chrome

Аспекти сучасного природознавства / Aspects of modern natural science Т-21-24, Т-22-24, Т-23-24, Т-16т1-25

Looking for Аспекти сучасного природознавства / Aspects of modern natural science Т-21-24, Т-22-24, Т-23-24, Т-16т1-25 test answers and solutions? Browse our comprehensive collection of verified answers for Аспекти сучасного природознавства / Aspects of modern natural science Т-21-24, Т-22-24, Т-23-24, Т-16т1-25 at dl2022.khadi-kh.com.

Get instant access to accurate answers and detailed explanations for your course questions. Our community-driven platform helps students succeed!

Енергія – це фізична величина, яка визначає

здатність об'єкта виконувати

0%
100%
0%
View this question

Поле сил називається потенційним полем, якщо це

поле описується скалярною функцією, яка залежить тільки від:

0%
0%
0%
View this question

Потенціалом поля називається

0%
0%
0%
View this question

Закон збереження імпульсу, вибрати

0%
100%
0%
View this question

Закон збереження енергії,

формулювання, вибрати

100%
0%
0%
View this question

Повна механічна енергія

матеріального об'єкта:

100%
0%
0%
View this question

У разі коливання математичного

маятника в крайніх положеннях потенціальна енергія є:

0%
0%
100%
View this question

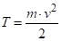
Кінетичної енергією об'єкта маси m, що рухається зі швидкістю v, називається величина, що дорівнює

0%
0%
0%
View this question

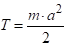
Потенційна енергія об'єкта визначається як стала

величина, що залежить від властивостей об'єкта в полі сил,

0%
0%
0%
View this question

Механічна робота, що здійснюються деякою силою на

заданій ділянці

шляху – це фізична величина, яка визначається як

0%
0%
0%
View this question

Want instant access to all verified answers on dl2022.khadi-kh.com?

Get Unlimited Answers To Exam Questions - Install Crowdly Extension Now!

Browser

Add to Chrome