logo

Crowdly

Browser

Add to Chrome

Аспекти сучасного природознавства / Aspects of modern natural science Т-21-24, Т-22-24, Т-23-24, Т-16т1-25

Looking for Аспекти сучасного природознавства / Aspects of modern natural science Т-21-24, Т-22-24, Т-23-24, Т-16т1-25 test answers and solutions? Browse our comprehensive collection of verified answers for Аспекти сучасного природознавства / Aspects of modern natural science Т-21-24, Т-22-24, Т-23-24, Т-16т1-25 at dl2022.khadi-kh.com.

Get instant access to accurate answers and detailed explanations for your course questions. Our community-driven platform helps students succeed!

Формула зв'язку кутової і лінійної швидкостей у

векторному вигляді:

0%
0%
0%
View this question

Миттєвою кутовою швидкістю називається вектор

0%
0%
0%
View this question

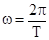
Кутова частота це вираз вигляду:

0%
0%
View this question

Частота обертання це

0%
0%
0%
View this question

Періодом руху Т називається

View this question

Формула повного прискорення

0%
0%
0%
View this question

Тангенціальне прискорення – це

0%
0%
0%
View this question

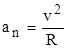
Формула нормального

прискорення:

View this question

Нормальне прискорення це

View this question

Кутове прискорення – це

View this question

Want instant access to all verified answers on dl2022.khadi-kh.com?

Get Unlimited Answers To Exam Questions - Install Crowdly Extension Now!

Browser

Add to Chrome