logo

Crowdly

Browser

Add to Chrome

Аспекти сучасного природознавства / Aspects of modern natural science Т-21-24, Т-22-24, Т-23-24, Т-16т1-25

Looking for Аспекти сучасного природознавства / Aspects of modern natural science Т-21-24, Т-22-24, Т-23-24, Т-16т1-25 test answers and solutions? Browse our comprehensive collection of verified answers for Аспекти сучасного природознавства / Aspects of modern natural science Т-21-24, Т-22-24, Т-23-24, Т-16т1-25 at dl2022.khadi-kh.com.

Get instant access to accurate answers and detailed explanations for your course questions. Our community-driven platform helps students succeed!

Миттєва швидкість руху за траєкторією – це

0%
0%
0%
View this question

Розмірність фізичної величини і одиниці її вимірювання – це

View this question

Шлях за траєкторією дорівнює

0%
0%
View this question

Систему відліку у фізиці утворюють:

0%
0%
0%
View this question

Матеріальна точка – це

0%
0%
View this question

Критерієм достовірності знань про матеріальний світ є

View this question

Прискорення матеріальної точки під час

руху за

траєкторією – це

0%
0%
0%
View this question

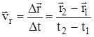
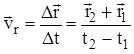
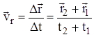
Середня швидкість

переміщення – це величина, спрямована уздовж вектора переміщення

View this question

Найважливішими властивостями фізичних величин є:

0%
0%
0%
View this question

Зміна положення точки в

просторі характеризується

її

0%
0%
0%
View this question

Want instant access to all verified answers on dl2022.khadi-kh.com?

Get Unlimited Answers To Exam Questions - Install Crowdly Extension Now!

Browser

Add to Chrome