logo

Crowdly

Browser

Add to Chrome

Аспекти сучасного природознавства / Aspects of modern natural science Т-21-24, Т-22-24, Т-23-24, Т-16т1-25

Looking for Аспекти сучасного природознавства / Aspects of modern natural science Т-21-24, Т-22-24, Т-23-24, Т-16т1-25 test answers and solutions? Browse our comprehensive collection of verified answers for Аспекти сучасного природознавства / Aspects of modern natural science Т-21-24, Т-22-24, Т-23-24, Т-16т1-25 at dl2022.khadi-kh.com.

Get instant access to accurate answers and detailed explanations for your course questions. Our community-driven platform helps students succeed!

Моментом інерції твердого

тіла відносно заданої вісі називається величина

0%
0%
100%
View this question

Моментом

сили, що прикладена до матеріальної точки А, відносно довільної точки О називається

0%
0%
100%
View this question

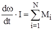
Основне рівняння обертального руху в термінах:

0%
0%
100%
View this question

Чи можливо описати обертальний

рух тіла в цілому, якщо відомий закон руху тільки однієї точки?

0%
0%
50%
View this question

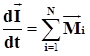
Момент імпульсу твердого

тіла є пропорційним

0%
0%
0%
View this question

Момент імпульсу твердого тіла:

0%
0%
0%
View this question

Величина  

називається

моментом імпульсу твердого тіла відносно заданої вісі, де

0%
0%
0%
View this question

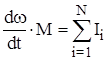
Основне рівняння обертального руху:

0%
100%
0%
View this question

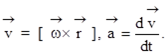
Швидкість і прискорення при обертанні визначається

співвідношенням:

100%
0%
0%
View this question

М

омент інерції

– це величина:

0%
0%
0%
View this question

Want instant access to all verified answers on dl2022.khadi-kh.com?

Get Unlimited Answers To Exam Questions - Install Crowdly Extension Now!

Browser

Add to Chrome