logo

Crowdly

Browser

Add to Chrome

Теорія ймовірностей і математична статистика

Looking for Теорія ймовірностей і математична статистика test answers and solutions? Browse our comprehensive collection of verified answers for Теорія ймовірностей і математична статистика at do.ipo.kpi.ua.

Get instant access to accurate answers and detailed explanations for your course questions. Our community-driven platform helps students succeed!

Навмання вибирається п’ятизначне число. Знайти ймовірність події

C ={запис числа містить лише непарні числа}.

0%
0%
0%
0%
View this question

Сторону квадрата х виміряли наближено, причому 0<X<1.

Розглядаючи

сторону

як випадкову величину X, розподілену рівномірно в

інтервалі (

0,1), знайти математичне сподівання площі квадрата.

0%
0%
0%
0%
View this question

При якому значені параметру А наведена функція буде функцією розподілу неперервної випадкової величини?

ц

0%
0%
0%
0%
0%
View this question

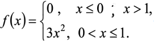
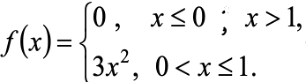
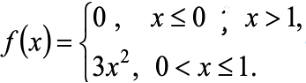
Чи є наведена функція щільністю розподілу неперервної випадкової величини?

е

0%
0%
View this question

Знайти ймовірність того, що частота появи шістки

в 10000 незалежних підкиданнях грального кубику відхиляється від ймовірності

появи шістки за абсолютною величиною менше ніж на 0,01

(відповідь заокруглити до сотих).

100%
0%
0%
0%
View this question

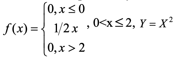
Випадкова величина X задана щільністю розподілупп

Знайти математичне сподівання випадкової величини.

0%
0%
0%
0%
View this question

Партія містить 200 виробів, серед яких 25 бракованих. Для

перевірки якості з партії відібрали 10 виробів. Якщо кількість бракованих

виробів не перевищує одиниці, то партію приймають. Знайти ймовірність того, що партію буде прийнято.

0%
0%
0%
0%
View this question

Випадкову величину задано функцією щільності :

рис

Обчислити її моду.

0%
0%
0%
0%
View this question
Проведено п’ять одночасних підкидань двох монет. Знайти ймовірність того, що рівно у трьох підкиданнях з’явилось по два герба (відповідь заокруглити до тисячних).:
0%
0%
0%
0%
View this question

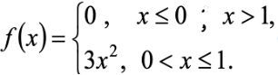
Випадкову величину задано функцією розподілу :

рис

Обчислити її початковий момент порядку 4.

0%
100%
0%
0%
View this question

Want instant access to all verified answers on do.ipo.kpi.ua?

Get Unlimited Answers To Exam Questions - Install Crowdly Extension Now!

Browser

Add to Chrome