logo

Crowdly

Browser

Add to Chrome

Теорія ймовірностей і математична статистика

Looking for Теорія ймовірностей і математична статистика test answers and solutions? Browse our comprehensive collection of verified answers for Теорія ймовірностей і математична статистика at do.ipo.kpi.ua.

Get instant access to accurate answers and detailed explanations for your course questions. Our community-driven platform helps students succeed!

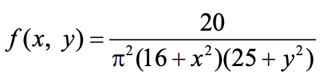
За відомою щільністю розподілу двовимірної випадкової

величини ( X Y, )

у

За відомою щільністю розподілу двовимірної випадкової

величини ( X Y, )

0%
0%
100%
0%
View this question

Число Х вибирається навмання з множини {1,2,3}, потім з цієї ж множини вибирається число Y, більше від першого, або рівне йому. Обчислити коефіцієнт кореляції Пірсона системи (X,Y).

0%
0%
0%
100%
View this question

Задано дискретну двовимірну випадкову величину:

q

Знайти математичне сподівання компоненти Y

0%
0%
100%
0%
View this question

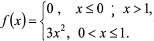
Випадкову величину задано функцією щільності :

рис

Обчислити її моду.

0%
0%
0%
0%
View this question

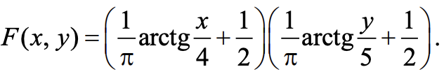
Випадкову величину задано функцією розподілу :

рис

Обчислити квантиль порядку 1/8.

0%
0%
0%
0%
View this question

При вимірюванні курсу літака систематична похибка

приладу відсутня, а випадкова похибка має середнє квадратичне відхилення 0,5.

Оцінити ймовірність того, що при вимірюванні курсу похибка буде не менша 2

100%
0%
0%
0%
View this question

Завод виготовляє деталі, з яких 3% браковані. Яка ймовірність, що в партії з 2000 деталей відносна частка бракованих буде в межах від 2.7% до 3.3%?

100%
0%
0%
0%
View this question

Пристрій складається з 10

незалежно працюючих елементів. Ймовірність відмови кожного елемента за час Т

рівна 0,05. За допомогою нерівності Чебишева оцінити ймовірність того, що

абсолютна величина різниці між числом елементів, що відмовили, і середнім

числом (математичним сподіванням) відмов за час Т виявиться менше

двох.

0%
0%
0%
0%
View this question

Задано

закон розподілу системи двох дискретних випадкових величин (X,Y):

ц

Обчислити математичне сподівання умовного закону

розподілу

X/Y=0.

0%
0%
0%
0%
View this question

Відомо, що компоненти системи (X;Y) двох випадкових величин мають зв

язок на рівні функціонального. При чому, зі зростанням

значень величини Х зростають значення величини

Y. Чому дорівнює коефіцієнт кореляції цієї системи

0%
0%
0%
100%
View this question

Want instant access to all verified answers on do.ipo.kpi.ua?

Get Unlimited Answers To Exam Questions - Install Crowdly Extension Now!

Browser

Add to Chrome