logo

Crowdly

Browser

Add to Chrome

Теорія ймовірностей і математична статистика

Looking for Теорія ймовірностей і математична статистика test answers and solutions? Browse our comprehensive collection of verified answers for Теорія ймовірностей і математична статистика at do.ipo.kpi.ua.

Get instant access to accurate answers and detailed explanations for your course questions. Our community-driven platform helps students succeed!

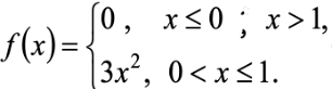
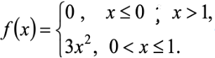
Знайти математичне сподівання випадкової величини X, яка

задана функцією розподілу

фф

0%
0%
100%
0%
View this question

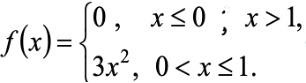
Випадкова величина X задана щільністю розподілупп

Знайти медіану випадкової величини.

100%
0%
0%
0%
View this question
Ймовірність того, деталь, яка виготовлена заводом, буде бракованою, дорівнює 0,03. Для контролю відібрано навмання 500 деталей. Знайти ймовірність того, що відносна частота бракованих деталей у вибірці відрізняється від ймовірності 0,03, за абсолютною величиною, не більше, ніж на 0,01 (відповідь заокруглити до десятитисячних).:
0%
0%
0%
0%
View this question

Нехай X — випадкова величина з розподілом N not stretchy left parenthesis 0 comma 1 not stretchy right parenthesis, а Y equals 2 X plus 3. Знайдіть функцію розподілу і щільність ймовірності для Y.

0%
100%
0%
0%
View this question

Дискретна випадкова величина X задана

законом розподілу:

х

–5

–3

0

3

5

р

0,1

0,3

0,4

0,15

0,05

Випадкова

величина

Y=1–X. Знайти M(Y).

0%
0%
100%
0%
View this question

Випадкову величину задано функцією розподілу :

рис

Обчислити її центральний момент порядку 2.

0%
0%
0%
0%
View this question

Неперервна випадкова величина X розподілена за показниковим

законом

з

параметром

0,04. Знайти

її математичне

сподівання та дисперсію.

0%
0%
0%
0%
View this question

Випадкову величину задано функцією розподілу :

р

Обчислити її середньоквадратичне відхилення (Відповідь заокруглити до десятитисячних).

0%
0%
0%
0%
View this question

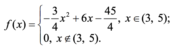
Випадкову величину задано функцією розподілу :

рис

Обчислити її початковий момент порядку 4.

0%
100%
0%
0%
View this question

Десять студентів писали роботу з теорії

ймовірностей, причому 5 з них отримали відмінну оцінку, 3 – добру, решта  - задовільну. Навмання взято три роботи. Скласти

закон розподілу системи (

X,Y), де X – кількість відмінних робіт, Y – кількість добрих робіт.

0%
0%
0%
0%
View this question

Want instant access to all verified answers on do.ipo.kpi.ua?

Get Unlimited Answers To Exam Questions - Install Crowdly Extension Now!

Browser

Add to Chrome