logo

Crowdly

Browser

Add to Chrome

Теорія ймовірностей і математична статистика

Looking for Теорія ймовірностей і математична статистика test answers and solutions? Browse our comprehensive collection of verified answers for Теорія ймовірностей і математична статистика at do.ipo.kpi.ua.

Get instant access to accurate answers and detailed explanations for your course questions. Our community-driven platform helps students succeed!

Задано

закон розподілу системи двох дискретних випадкових величин (X,Y):

и

Знайти

невідому константу a.

0%
100%
0%
0%
View this question

Число Х вибирається навмання з множини {1,2,3,4}, потім з цієї ж множини вибирається число Y, менше від першого, або рівне йому. Встановити, чи залежні, чи незалежні компоненти системи (X,Y).

0%
0%
View this question

Задано

закон розподілу системи двох дискретних випадкових величин (X,Y):

п

Обчислити M(XY).

100%
0%
0%
0%
View this question

Випадкова величина Х

розподілена за

нормальним законом з параметрами

a=0

і

D(X)=1. Щільність ймовірності величини Y=kx дорівнює

s

0%
0%
View this question

Дискретна випадкова величина Х задана законом розподілу:

xi

0

2

4

pi

0,5

0,2

0,3

Знайти D(Z) випадкової величини Z=X.

0%
0%
0%
0%
View this question

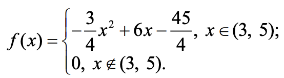
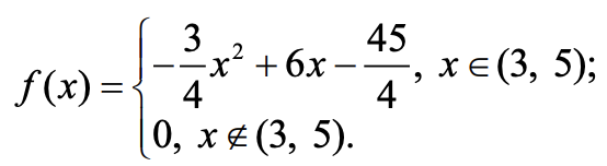
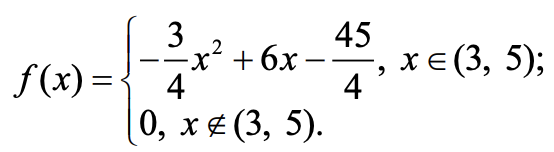
Випадкова величина X задана щільністю розподілупп

Знайти математичне сподівання випадкової величини.

0%
0%
0%
0%
View this question

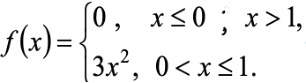
Знайти математичне сподівання випадкової величини X, яка

задана функцією розподілу

фф

0%
0%
100%
0%
View this question

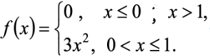
Випадкова величина X задана щільністю розподілупп

Знайти медіану випадкової величини.

100%
0%
0%
0%
View this question
Ймовірність того, деталь, яка виготовлена заводом, буде бракованою, дорівнює 0,03. Для контролю відібрано навмання 500 деталей. Знайти ймовірність того, що відносна частота бракованих деталей у вибірці відрізняється від ймовірності 0,03, за абсолютною величиною, не більше, ніж на 0,01 (відповідь заокруглити до десятитисячних).:
0%
0%
0%
0%
View this question

Нехай X — випадкова величина з розподілом N not stretchy left parenthesis 0 comma 1 not stretchy right parenthesis, а Y equals 2 X plus 3. Знайдіть функцію розподілу і щільність ймовірності для Y.

0%
100%
0%
0%
View this question

Want instant access to all verified answers on do.ipo.kpi.ua?

Get Unlimited Answers To Exam Questions - Install Crowdly Extension Now!

Browser

Add to Chrome