logo

Crowdly

Browser

Add to Chrome

Теорія ймовірностей і математична статистика

Looking for Теорія ймовірностей і математична статистика test answers and solutions? Browse our comprehensive collection of verified answers for Теорія ймовірностей і математична статистика at do.ipo.kpi.ua.

Get instant access to accurate answers and detailed explanations for your course questions. Our community-driven platform helps students succeed!

Дискретна випадкова величина X задана

законом розподілу:

х

–5

–3

0

3

5

р

0,1

0,3

0,4

0,15

0,05

Випадкова

величина

Y=1–X. Знайти D(Y).

0%
100%
0%
0%
View this question

При якому значені параметру А наведена функція буде функцією розподілу неперервної випадкової величини?

ц

0%
100%
0%
0%
0%
View this question

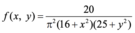
За відомою щільністю розподілу двовимірної випадкової

величини ( X Y, )

у

Обчислити коефіцієнт кореляції двовимірної випадкової величини( X Y, )

100%
0%
0%
0%
View this question

Кожен з двох студентів відповідає на два

поставлені питання. Ймовірність правильної відповіді на питання у першого

студента дорівнює 0,9, у другого – 0,8. Скласти закон розподілу системи (

X,Y), де X

– кількість правильних відповідей

у першого студента,

Y

– кількість правильних

відповідей у другого студента.

50%
0%
0%
0%
View this question

Випадкова величина X

рівномірно розподілена на

відрізку[0;1]

. Знайти щільність ймовірності випадкової величини Y=X2.

100%
0%
0%
View this question

Дана дискретна випадкова величина Х

р

та Y = sin X. Знайти M(Y).

0%
0%
0%
100%
View this question

Наведено схему з’єднання елементів, що утворюють

коло з одним входом і одним виходом. 

рр

Припускаємо, що відмови елементів є сукупно незалежними подіями. Вважаємо відомою надійність pk k -го елемента (відповідно qk =1− pk – ймовірність його відмови): p1=0,4, p2 =0,5, p3 =0,6, p4 =0,7. Відмова будь-якого з 

елементів призводить до розриву сигналу у тій ділянці кола, де знаходиться

вказаний елемент. Обчислити надійність p кожної зі схем.

0%
0%
100%
0%
View this question

Нехай X — випадкова величина з розподілом N not stretchy left parenthesis 0 comma 1 not stretchy right parenthesis, а Y equals e to the power of X. Знайдіть дисперсія для Y.

100%
0%
0%
0%
View this question

Нехай X — випадкова величина з розподілом N not stretchy left parenthesis 0 comma 1 not stretchy right parenthesis, а Y equals cos invisible function application not stretchy left parenthesis X not stretchy right parenthesis. Знайдіть дисперсію для Y.

0%
0%
0%
0%
View this question

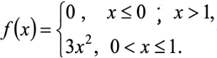
Випадкову величину задано функцією розподілу :

рис

Обчислити її початковий момент порядку 3.

0%
0%
0%
0%
View this question

Want instant access to all verified answers on do.ipo.kpi.ua?

Get Unlimited Answers To Exam Questions - Install Crowdly Extension Now!

Browser

Add to Chrome