logo

Crowdly

Browser

Add to Chrome

Теорія ймовірностей і математична статистика

Looking for Теорія ймовірностей і математична статистика test answers and solutions? Browse our comprehensive collection of verified answers for Теорія ймовірностей і математична статистика at do.ipo.kpi.ua.

Get instant access to accurate answers and detailed explanations for your course questions. Our community-driven platform helps students succeed!

Чи є наведена функція функцією розподілу неперервної випадкової величини?

в

0%
0%
View this question

Дискретна випадкова величина Х задана законом розподілу:

xi

0

2

4

pi

0,5

0,2

0,3

Дискретна

випадкова величина

Y задана законом розподілу:

yj

-2

0

2

pj

0,1

0,5

0,4

Знайти D(Z) випадкової величини Z=X-Y.

100%
0%
0%
0%
View this question

Нехай X і Y — незалежні випадкові величини з рівномірним розподілом на відрізку not stretchy left square bracket 0 comma 1 not stretchy right square bracket. Знайдіть дисперсію для випадкової величини Z equals X plus Y.

0%
100%
0%
0%
View this question

Річна виручка авіакомпанії від перевезень пасажирів

– випадкова величина з середнім значенням 250 млн. гр

н

. і стандартним (середнім квадратичним) відхиленням

30 млн. гр

н

. Знайти в яких межах з

імовірністю, не меншою 0,9, можна очікувати виручку в наступному році

).

0%
0%
0%
100%
View this question

 Задана послідовність попарно незалежних випадкових величин X1,X2,...,Xn

,.... Чи застосовний до

неї закон великих чисел, якщо кожна величина X

n

рівномірно

розподілена на відрізку [0;100]?

0%
100%
View this question

с

0%
0%
0%
0%
View this question

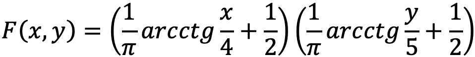
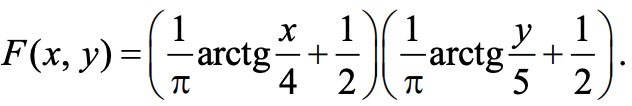
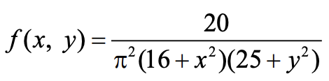
За відомою щільністю розподілу двовимірної випадкової

величини ( X Y, )

у

За відомою щільністю розподілу двовимірної випадкової

величини ( X Y, )

0%
0%
100%
0%
View this question

Випадкова подія A може здійснитися при одному

експерименті з імовірністю p. Експеримент повторили n раз. Яка

ймовірність того, що при цьому виконується нерівність 

?

0%
0%
0%
0%
View this question

За даними служби перевезень аеропорту кількість

затриманих за метеоумовами рейсів складає 7% від їх загальної щорічної

кількості. Наступного року планується виконати 1400 рейсів. Застосовуючи

теорему Бернуллі знайти, скільки потрібно

зробити рейсів, щоб з ймовірністю, не меншою 0,9, можна було б сподіватись, що

абсолютна величина відхилення відносної частоти затримки рейсів від її

ймовірності буде меншою 0,01

.

100%
0%
0%
0%
View this question

Задано

закон розподілу системи двох дискретних випадкових величин (X,Y):

и

Знайти

невідому константу a.

0%
100%
0%
0%
View this question

Want instant access to all verified answers on do.ipo.kpi.ua?

Get Unlimited Answers To Exam Questions - Install Crowdly Extension Now!

Browser

Add to Chrome