logo

Crowdly

Browser

Add to Chrome

Теорія ймовірностей і математична статистика

Looking for Теорія ймовірностей і математична статистика test answers and solutions? Browse our comprehensive collection of verified answers for Теорія ймовірностей і математична статистика at do.ipo.kpi.ua.

Get instant access to accurate answers and detailed explanations for your course questions. Our community-driven platform helps students succeed!

Два гравці кидають шестигранний кубик. Ймовірність того, що перший гравець влучить у ціль, дорівнює 1/6, а ймовірність для другого гравця — 1/4. Кожен гравець кидає кубик два рази. Обчислити коваріацію системи

(𝑋,𝑌), де

𝑋  — кількість влучень у ціль для першого гравця,

𝑌 — кількість влучень у ціль для другого гравця.

100%
0%
0%
0%
View this question

Дискретна випадкова величина Х задана законом розподілу:

x

1

3

5

p

0,4

0,1

0,5

Випадкова

величина

Y=3X. Знайти D(Y).

0%
100%
0%
0%
View this question

Маємо дані для 10 аграрних компаній про врожайність

картоплі у (ц/га) та кількість внесених на 1 га мінеральних добрив х (кг). Вихідні

дані наведені у  таблиці . З допомогою коефіцієнта рангової

кореляції Кендалла виміряти щільність взаємозв’язку між цими показниками.

РГ

0%
100%
0%
0%
View this question

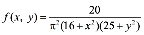
За відомою щільністю розподілу двовимірної випадкової

величини ( X Y, )

у

Обчислити коефіцієнт кореляції двовимірної випадкової величини( X Y, )

0%
0%
0%
0%
View this question

Дискретна випадкова величина X задана законом розподілу:

x

рі/4

рі/2

3рі/4

p

0,2

0,7

0,1

Випадкова

величина

Y=sinX. Знайти M(Y) (відповідь заокруглити до тисячних).

0%
100%
0%
0%
View this question

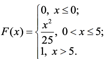
Знайти дисперсію випадкової величини X, яка

задана функцією розподілу

фф

0%
0%
0%
0%
View this question

Проводять багаторазові випробування певного елемента на

надійність доти, доки елемент не відмовить. Знайти дисперсію дискретної випадкової величини Х – кількості випробувань, які

потрібно провести. Ймовірність відмови елемента в кожному випробуванні

дорівнює 0,1.

0%
100%
0%
0%
View this question

Діаметр круга х виміряний наближено, причому 0<X<1.

Розглядаючи

діаметр як випадкову величину X, розподілену рівномірно в інтервалі (0,

1), знайти дисперсію площі круга.

100%
0%
0%
0%
View this question

Нехай X і Y — незалежні випадкові величини з експоненційним розподілом з параметром lambda. Знайдіть функцію розподілу для випадкової величини Z equals X minus Y.

0%
0%
0%
100%
View this question

Випадкову

величину

X задано функцією розподілу :

а

Обчислити

ймовірність

попадання випадкової величини в інтервал (-p

і/4, -pі/8) (Відповідь заокруглити до тисячних).

0%
0%
0%
0%
View this question

Want instant access to all verified answers on do.ipo.kpi.ua?

Get Unlimited Answers To Exam Questions - Install Crowdly Extension Now!

Browser

Add to Chrome